Tämä tilasto on lakkautettu.
Tilastotietoa tästä aiheesta julkaistaan toisen tilaston yhteydessä.
Uudistetut kiinteän pääomakannan aikasarjat
Kiinteä pääomakanta estimoidaan investointi-kertymämenetelmään perustuvalla laskentamallilla.1) Kertymämenetelmässä käytetään pitkiä investointisarjoja, hintaindeksejä, sekä olettamuksia pääomatavaroiden eloonjäämis-/kuolleisuusfunktion muodosta ja keskimääräisistä käyttöi'istä. Investointikertymämenetelmää täydennetään kyselyillä ja hallinnollisilla aineistoilla.
Kansantalouden tilinpidon EU-uudistusprosessin yhteydessä pääomakantalaskelmien menetelmiä on muutettu ja tarkistettu.
Pääomakantamallissa on siirrytty osittain geometriseen kulumismalliin, kun aiemman käytettiin vain lineaarista kulumismallia. Geometrista kulumismallia käytetään koneille, laitteille, kalustolle ja kuljetusvälineille sekä aineettomille investoinneille (mineraalien etsintä, tietokoneohjelmistot sekä viihteen ja taiteen alkuperäisteokset). Lineaarista mallia sovelletaan yhä kaikille rakennusinvestoinneille.
Pääomakantalaskelmissa on siirrytty käyttämään kansantalouden tilinpidon tarjonta- ja käyttötaulukoiden tuottamia investointien hintaindeksejä vuodesta 1995 alkaen. Perusvuosi on 2000. Vuosien 1960-1994 hintaindeksit tavaratyypeittäin on konstruoitu viemällä vuoden 1995 hintaindeksien tasoa taaksepäin aikaisemmilla hintaindeksien muutoksilla. Vuosien 1920-1959 kiinteähintaiset investointiaikasarjat on ketjutettu vuodesta 1960 taaksepäin vanhoilla volyymimuutoksilla.
Teollisuuden (toimialat C,D,E) pääomatavaroiden keskimääräiset käyttöiät on tarkistettu Tilastokeskuksen vuotta 2002 koskevan pääomakantakyselyn tulosten mukaisiksi. Edellinen kysely teollisuuden käyttöomaisuudesta on vuodelta 1990. Aiemmin oletettiin, että joillakin teollisuuden toimialoilla vuoden 1990 jälkeen muiden koneiden ja laitteiden käyttöiät lyhenevät 0,4-0,5% vuosittain (ennen vuotta 1990 vuosittain 0,5-1% lyhenevät eliniät). Näillä toimialoilla koneille ja laitteille laskettiin kuinka paljon käyttöiät ovat lyhentyneet vuoteen 2002 mennessä ja verrattiin niitä vuoden 2002 pääomakantakyselyn tuloksiin.
Uudet käyttöiät hyväksyttiin niillä toimialoilla, joiden osuus kyseisen toimialan tuotannon bruttoarvosta oli yli 80 prosenttia kyselyssä. Käyttöiät muuttuvat vuodesta 1990 vuoteen 2002 liukuvasti. Toimialoille, joilla käyttöikä oli muuttunut, laskettiin muutosprosentti, jolla päädytään vuoden 1990 eliniästä vuoden 2002 uuteen elinikään.
Vuoden 1990 teollisuuden käyttöomaisuuskyselyn tuloksia oli käytetty vain koneiden, laitteiden ja kaluston sekä kuljetusvälineiden käyttöikien tarkistamiseen. Vuoden 2002 kyselyn tuloksia sovelletaan myös teollisuuden talonrakennusten ja maa- ja vesirakennusten käyttöikien määrittelyssä. Kaikkiaan pääomakantamallissa on tavaratyyppien elini'ille käytössä nyt kolme paaluvuotta eli 1960, 1990 ja 2002. Lisäksi joillakin teollisuuden toimialoilla sovelletaan liukuvia elinikiä vuosien 1990 ja 2002 välillä sekä vuosittain 0,5-1% lyheneviä elinikiä ennen vuotta1990.
Pääomakantamallissa sektorisiirtojen käsittelyä on parannettu. Sektorisiirroilla tarkoitetaan kiinteiden varojen siirtymistä sektorilta toiselle, esimerkiksi valtiolta yrityssektoriin yksityistämisen seurauksena. Aiemmin toimialan koko pääomakanta täytyi siirtää toiselle sektorille sektorisiirtymän tapahtuessa, nyt kantaa voidaan siirtää osittain, jos kyse ei ole koko kannan siirtymisestä. Valtiosektorin pääomakannan siirtymistä on tehty perusteellinen selvitys.
Kiinteä pääoma - virrat
Kiinteän pääoman bruttomuodostus
EKT95-käsikirja määrittelee investoinnin, eli kiinteän pääoman bruttomuodostuksen seuraavasti:
"Kiinteän pääoman bruttomuodostus (P51) koostuu kotimaisten tuottajien kiinteiden varojen hankinnoista tiettynä ajanjaksona, vähennettynä luovutuksilla, plus eräistä tuottajan tai institutionaalisen yksikön tuotantotoiminnan aiheuttamista lisäyksistä valmistamattomien varojen arvoon. Kiinteät varat ovat tuotantoprosessien tuotoksina tuotettuja aineellisia tai aineettomia varoja, joita itseään käytetään toistuvasti tai jatkuvasti tuotantoprosesseissa pitempään kuin yhden vuoden ajan." (EKT95, 3.102)
Aineellinen kiinteän pääoman bruttomuodostus voidaan jaotella tavaratyypeittäin seuraavasti: asuinrakennukset, muut talorakennukset, maa- ja vesirakennukset ja muut rakennelmat, koneet ja laitteet, kuljetusvälineet sekä kasvatettavat varat. Aineettoman kiinteän pääoman bruttomuodostus jaotellaan tavaratyypeittäin seuraavasti: mineraalien etsintä, tietokoneohjelmistot sekä viihteen, kirjallisuuden ja taiteen alkuperäisteokset. Investoinneiksi luetaan myös maan ja muiden valmistamattomien varojen arvon lisäys, kuten maan perusparannukset ja omistusoikeuden siirtymiseen liittyvät kustannukset. Pääomatavaroiksi ei lueta kotitalouksien kulutustavaroita eikä maa-alueita ja muita luonnonvaroja, joita ei ole tuotettu. Taulukossa 1 esitetään kiinteän pääoman bruttomuodostuksen tavaratyyppiluokitus.
Taulukko 1. Kiinteän pääoman bruttomuodostuksen tavaratyyppiluokitus.

Pääomatavarat kirjataan ostajan toimialalle ja arvotetaan ostajanhintaan mukaan luettuna asennuskustannukset ja muut omistuksen siirtymiseen luettavat kustannukset. Poikkeuksina ovat rahoitusliisaus, jolloin hankitut varat kirjataan ikään kuin käyttäjästä tulisi omistaja, sekä omaan käyttöön tehtävä kiinteän pääoman bruttomuodostus, joka arvotetaan tapauksesta riippuen joko perushintaan tai tuotantokustannusten mukaan.
Kiinteän pääoman kuluminen
Kiinteän pääoman kulumisella tarkoitetaan kiinteän pääoman arvon vähenemistä, joka on seurauksena tilinpitokauden aikana tapahtuneesta fyysisestä heikentymisestä, odotetusta vanhanaikaistumisesta, tavanomaisista vahingoista sekä vanhentumisesta. Kiinteän pääoman kuluminen edustaa tuotannossa käytetyn pääoman arvon laskua, ja se esitetään kansantalouden tilinpidossa tulonmuodostustilillä tuotantokustannuksena ja pääomatilillä pääoman rahoituksena. Kuluminen vastaa brutto- ja nettoarvonlisäyksen erotusta. Kiinteän pääoman kuluminen lasketaan investointien ja nettopääomakannan muutoksen erotuksena:
KULt = INVt - (NKAt - NKAt-1),
jossa KUL on kiinteähintainen kiinteän pääoman kuluminen, INV on kiinteähintainen kiinteän pääoman bruttomuodostus ja NKA on kiinteähintainen kiinteän pääoman nettokanta. Rakennusinvestoinneilla kulumisen oletetaan olevan muodoltaan lineaarista, eli pääomatavaran alkuperäisestä arvosta poistetaan vakio-osuus tavaran koko eliniän ajan. Koneisiin, laitteisiin, kalustoon ja kuljetusvälineisiin sekä aineettomiin investointeihin sovelletaan geometrista kulumismallia, jossa pääomatavaran jäljelle jäävästä arvosta poistetaan vakio-osuus tavaran koko eliniän ajan.
Kiinteän pääoman poistuma
Kiinteän pääoman poistumalla tarkoitetaan pääomatavaran poistamista pääomakannasta sen eliniän päätyttyä. Poistuma lasketaan investointien ja bruttopääomakannan muutoksen erotuksena:
POIt = INVt - (BKAt - BKAt-1),
jossa POI on kiinteähintainen kiinteän pääoman poistuma, INV on kiinteähintainen kiinteän pääoman bruttomuodostus ja BKA on kiinteähintainen kiinteän pääoman bruttokanta.
Kiinteä pääoma - varannot
Kansantalouden tilinpidossa on kaksi pääomakantakäsitettä: kiinteän pääoman nettokanta ja kiinteän pääoman bruttokanta. Taulukossa 2 esitetään kiinteiden varojen tavaratyyppiluokitus.
Taulukko 2. Kiinteiden varojen tavaratyyppiluokitus.

Kiinteän pääoman nettokanta, geometrinen tapaus
Nettokanta koostuu menneiden investointien kumuloituneesta arvosta vähennettynä kumuloituneella kiinteän pääoman kulumisella. Nettokanta on SNA93/EKT95 tilinpitojärjestelmän varantokäsite, ja sitä käytetään varallisuustaseissa, käyttötaulukoissa sekä panos-tuotostaulukoissa. Nettokanta lasketaan käyttäen geometrista tasapoistoa siten, että kiinteähintainen nettokanta homogeeniselle pääomatavaralle vuoden t lopulla on:
,
missä d = R/E kuitenkin niin, että jäljelle jäävän pääomatavaran arvo nollataan siinä vaiheessa kun saavutetaan 1,5 kertaa elinikä. R on 1,65 koneille, laitteille ja kuljetusvälineille sekä 2 aineettomille pääomatavaroille. E on elinikä.
Esimerkki eloonjäämisestä
Oheisessa kuviossa näytetään kiinteähintaisen investoinnin eloonjääminen eri pääomakantakäsitteiden mukaan. Esimerkkitapauksessa oletetaan, että kyseessä olevan pääomatavaran keskimääräinen elinikä on 20 vuotta. Oletetaan myös, että R on 1,65. Täten geometrisessa tapauksessa poistokerroin on 0,0825 (eli 1,65/20), paitsi ensimmäisenä vuotena, jolloin poistetaan puolet 0,0825:stä eli 0,04125. Poistokerrointa 0,0825 siis käytetään jäljellä olevaan kantaan. Kun 1,5 kertaa elinikä on kulunut, tässä tapauksessa 30 vuotta, nettokanta nollataan. Lineaarisen kulumisen tapauksessa poistuu 0,05 (eli 1/20) vuodessa paitsi ensimmäisenä (ja viimeisenä) vuotena jolloin poistetaan puolet 0,05:stä eli 0,025. Tätä poistoastetta käytetään alkuperäiseen investointiin.
Kuvio 1. Eloonjääminen eri pääomakannoissa pääomatavaralla, jonka elinikä on 20 vuotta.

Kiinteän pääoman nettokanta, lineaarinen tapaus
Nettokanta lasketaan käyttäen lineaarista tasapoistoa siten, että kiinteähintainen nettokanta homogeeniselle pääomatavaralle vuoden t lopulla on:
,
missä dt-T = 0, kun T≤t-E+0.5,
ja dt-T = 1-(1/E)(t-T+0.5) muulloin.
Kiinteän pääoman bruttokanta, lineaarinen
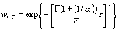
Bruttokanta on tuottajien hallussa ja vielä käytössä olevien varojen arvo, arvotettuna "uutta vastaavin" hinnoin, riippumatta niiden iästä tai todellisesta kunnosta. Bruttokannassa olevien pääomatavaroiden tehokkuuden laskua ei siis huomioida. Bruttokanta koostuu menneiden investointien kumuloituneesta arvosta vähennettynä kumuloituneella poistumalla. Suomessa poistuman oletetaan noudattavan vinoa Weibull-jakaumaa, eli se osa vuoden T investoinneista joka yhä on käytössä vuoden t lopussa, noudattaa ns. eloonjäämisfunktiona:
,
jossa τ = t-T+0.5, E on keskimδ äräinen elinikä ja α on muotoparametri, jonka arvo on 8.
Kiinteähintainen bruttokanta vuoden t lopulla on:
,
jossa T≥t-Jt+1 ja IT on vuoden T kiinteähintainen kiinteän pääoman bruttomuodostus. Jt = max{1.5θ t,100}, eli maksimaalisen eliniän oletetaan olevan 1,5 kertaa keskimääräinen elinikä, mutta kuitenkin enintään 100 vuotta.
Hintakäsite
Pääomakannat voidaan arvottaa kolmella hintakäsitteellä:
- kiinteät jälleenhankintahinnat, eli pääomatavarat arvotetaan tietyn perusvuoden hinnoissa
- käyvät jälleenhankintahinnat, eli pääomatavarat arvotetaan vallitsevan vuoden hintoihin
- hankintahinnat (ns. historialliset hinnat), eli pääomatavarat arvotetaan hankintahetken hintoihin.
Suomessa käytetään kahta ensin mainittua hintakäsitettä.
Pääomakantamallissa kiinteähintaiset kannat inflatoidaan käypähintaisiksi käyttämällä investointien hintaindeksejä.
Käyttöiät
Pääomatavaroiden keskimääräiset käyttöiät perustuvat kyselyihin, hallinnollisiin lähteisiin, asiantuntija-arvioihin ja muiden maiden käytäntöihin. Esimerkiksi julkisesta infrastruktuurista ratojen ja vesiväylien keskimääräisten käyttöikien perustana ovat ratahallintokeskuksen, tiehallintokeskuksen ja merenkulkulaitoksen tiedot. Teollisuuden pääomatavaroiden kulumisiät perustuvat mm. Tilastokeskuksen kyselyyn toimialojen C,D,E aineellisen käyttöomaisuuden jälleenhankinta-arvosta sekä keskimääräisistä ja odotetuista käyttöi'istä vuosilta 1990 ja 2002.
Asuinrakennusten elinikäarvio on 50 vuotta, mineraalien etsinnän 10 vuotta, tietokoneohjelmistojen 5 vuotta, alkuperäisteosten 10 vuotta sekä maan ym. perusparannusten 30-70 vuotta. Taulukossa 3 esitetään muiden pääomatavaroiden keskimääräiset käyttöiät yrityksissä, kotitalouksissa sekä rahoitus- ja vakuutuslaitoksissa vuodesta 2002 alkaen. Taulukossa 4 on muiden pääomatavaroiden keskimääräiset käyttöiät julkisyhteisöissä ja voittoa tavoittelemattomissa yhteisöissä.
| Toimiala | Muut talon- rakennukset |
Maa- ja vesi- rakennukset |
Kuljetusvälineet | Muut koneet ja laitteet |
| A | 35-40 | 30 | 9-15 | 5-12 |
| B | 40 | 10 | 15 | |
| C | 30-38 | 25-33 | 7-8 | 17-22 |
| DA | 39-40 | 25-33 | 7 | 17-19 |
| DB | 35 | 40 | 7 | 14 |
| DC | 35 | 40 | 7 | 14 |
| DD | 35 | 25 | 10 | 16 |
| DE | 40-47 | 35-39 | 6-10 | 15-24 |
| DF | 43 | 40 | 11 | 22 |
| DG | 40 | 35 | 10 | 18 |
| DH | 42-45 | 40-52 | 7-9 | 13-18 |
| DI | 40 | 40 | 10 | 18 |
| DJ | 37 | 30-31 | 8-9 | 16-20 |
| DK | 45 | 29 | 8 | 16 |
| DL | 35-40 | 30-39 | 7-10 | 8-11 |
| DM | 38-45 | 40-45 | 9 | 14-24 |
| DN | 35 | 35 | 8 | 14 |
| E | 50-52 | 35-40 | 8-10 | 23-37 |
| F | 40 | 30 | 10 | 10 |
| G | 40 | 30 | 10 | 15 |
| H | 40 | 30 | 10 | 15 |
| I | 20-50 | 20-70 | 7-25 | 5-25 |
| IA | 20-50 | 40-70 | 7-25 | 5-25 |
| 601 | 50 | 40 | 20 | 25 |
| 602 | 40 | 40 | 7-10 | 5-10 |
| 603 | 40 | |||
| 61 | 50 | 40 | 25 | 15 |
| 62 | 20 | 40 | 15 | 15 |
| 63 | 40 | 40-70 | 10 | 15 |
| IB | 40 | 20 | 10 | 15 |
| J | 40 | 8 | 10 | |
| K | 40-50 | 40 | 8-10 | 10-15 |
| M | 50 | 10 | 10 | |
| N | 40-50 | 8-10 | 10-15 | |
| O | 50 | 40 | 8-10 | 10 |
Taulukko 4. Eräiden pääomatavaroiden keskimääräiset käyttöiät julkisyhteisöissä ja voittoa tavoittelemattomissa yhteisöissä vuodesta 2002 alkaen.
| Toimiala | Muut talo- rakennukset |
Maa- ja vesi- vesirakennukset |
Kuljetusvälineet | Muut koneet ja laitteet |
| A | 40 | 30 | ||
| DB | 50 | 15 | ||
| DE | 50 | 15 | ||
| DK | 50 | 15 | ||
| DN | 14 | |||
| F | 40 | 10 | 10 | |
| G | 50 | 10 | 15 | |
| 6301 | 50 | 40 | 10 | 15 |
| 6302 | 50 | 52 | 10 | 15 |
| 6303 | 50 | 70 | 15 | |
| 6309 | 50 | 35 | 10 | 15 |
| K | 40-50 | 30-70 | 10 | 10-15 |
| L | 50 | 70 | 10 | 15 |
| M | 50 | 70 | 10 | 15 |
| N | 50 | 70 | 10 | 15 |
| O | 50 | 70 | 10 | 15 |
1) Katso OECD (2001): Measuring Capital - OECD Manual: Measurement of Capital Stocks, Consumption of Fixed Capital and Capital Services, Pariisi: OECD.
Päivitetty 3.5.2006
Suomen virallinen tilasto (SVT):
Pääomakanta [verkkojulkaisu].
ISSN=1798-3797. Helsinki: Tilastokeskus [viitattu: 31.3.2026].
Saantitapa: https://stat.fi/til/pka/pka_2006-05-03_men_001.html
