Julkaistu: 7.7.2002
Ikä ratkaisee
Väestö ikääntyy -otsikko on nykyään hyvin yleinen. Ollaan huolissaan tulevaisuuden eläkeikäisten määrän nopeasta kasvusta. Tuo ilmiö koskettaa niin kehitysmaita kuin teollistuneita maita. Eletään yhä pitempään ja menneet väestönkasvun vuodet ovat taanneet sen, että eläkeikäisten määrä kaksin- tai kolminkertaistuu lähitulevaisuudessa.
Pitkäikäisin oli 122-vuotias
Vuonna 1997 kuoli todistettavasti maailman pisimpään elänyt ihminen, ranskalainen Jeanne Calment 122-vuotiaana. Pisimpään elänyt suomalainen kuoli pari vuotta sitten kunnioitettavassa 112 vuoden iässä. Ehkä ei kulu kauaa, kun nuo ennätykset rikotaan; onhan jo Suomessakin tänä vuonna yli 200 henkilöllä mahdollisuus täyttää 100 vuotta.
Aina välillä putkahtaa lehdistössä juttuja maailman iäkkäimmistä henkilöistä. He löytyvät yleensä vuoristoseuduilta, joissa ilma on puhdasta, elämänmeno verkkaisen rauhallista ja yhteydyt muuhun maailman ovat olleet vähäiset. Vielä auringon ja tuulen ahavoittamat kasvot saavat ihmisen näyttämään kymmeniä vuosia vanhemmalta.
Aikanaan suomalaisetkin turistit vietiin katsomaan gruusialaisia vanhuksia, joista vanhimmat olivat pirteitä yli 140-vuotiaita! Kuitenkaan ketään näistä henkilöistä ei ole pystytty todistamaan ikäisekseen - ainakaan omien syntymä- yms. henkilötodistusten avulla. Kun Aasiassa ikää muutetaan kiinalaisesta kalenterista meidän ajanlaskumme mukaiseksi, pieni inhimillinen laskuvirhe saattaa tehdä vanhuksesta 20-30 vuotta vanhemman.
Väestöilmiöt ikäsidonnaisia
Ikä ei ole ainoastaan pitkäikäisyyden mitta, vaan eri väestönmuutostapahtumat ovat iästä riippuvaisia. Lapset synnytetään tietyssä iässä, useimmin muutetaan juuri opiskelun jälkeen ja iän karttuessa myös kuolevuus kasvaa. Täten ikä on keskeinen väestöilmiöihin vaikuttava tekijä: sanotaan, että väestönmuutostapahtumat ovat ikäsidonnaisia.
Tällä hetkellä monien kuntien ikärakenteet poikkeavat toisistaan niin paljon, että väestöllisten tunnuslukujen laskeminen tuottaa vaikeuksia. Lisäksi monien kuntien väkiluvut ovat niin pieniä, että tunnuslukuihin tulee paljon vuosittaista satunnaisvaihtelua.
Kuten aikaisemmissa jaksoissa on jo moneen kertaan todettu, tunnuslukuja laskettaessa on ikärakenne otettava huomioon. Elinajanodotetta laskettaessa otettiin huomioon väestön ikärakenne laskemalla tunnusluku käyttämällä hyväksi ikäryhmittäisiä kuolevuuslukuja. Näin saatiin yksi luku, joka ilmoitti jäljellä olevat tilastolliset elinvuodet.
Ikävakiointi kahdella tavalla
Kun eri väestöjen ikärakenteet poikkeavat toisistaan merkittävästi, väestötieteessä käytetään menetelmää, jota kutsutaan vakioinniksi - tässä tapauksessa ikävakioinniksi. Ikävakioinnin avulla voidaan verrata esimerkiksi kuolevuutta, kun vertailtavien väestöjen ikärakenteet poikkeavat toisistaan.
Menetelmässä valitaan jokin väestö vakioväestöksi. Jos tarkastellaan esimerkiksi kuolevuutta maakunnittain ja halutaan verrata maakuntien kuolevuutta toisiinsa, valitaan koko maan väestö vakioväestöksi. Vakioväestöksi voidaan valita mikä tahansa väestö.
Ensin lasketaan maakunnittain ikäryhmittäiset kuolevuusluvut. Koska ikäryhmittäiset kuolevuusluvut ovat suhdelukuja, seuraavaksi kerrotaan maakunnasta lasketulla kuolevuusluvulla koko maan väestön vastaava ikäryhmä. Näin saadaan niiden kuolleiden määrä, jotka kuolisivat koko maan väestöstä tässä ikäryhmässä, kun kyseisen maakunnan kuolevuus vallitsisi. Laskemalla näin saadut kuolleiden määrät yhteen saadaan vakioväestön kuolleiden määrä siten kuin he kuolisivat koko väestössä mutta vertailtavan maakunnan kuolevuustasolla.
Ikävakiointi tapahtuu kahdella tavalla. Suorassa ikävakioinnissa tunnetaan sekä vakioitavasta että vakioväestöstä ikärakenteet sekä ikäryhmittäiset kuolevuusluvut. Sen sijaan epäsuorassa ikävakioinnissa tunnetaan vakioväestöstä ikärakenne ja ikäryhmittäiset kuolevuusluvut, mutta vakioitavasta väestöstä pelkästään ikärakenne ja kuolleiden kokonaismäärä.
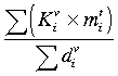
Suora ikävakiointi
Suoraan ikävakioitu kuolleisuusluku

Suoraan ikävakioitu kuolleisuusindeksi

= vakioväestön iässä i olevien keskiväkiluku
= vakioitavan väestön ikäryhmittäinen kuolleisuusluku
= vakioväestön kuolleiden määrä
Epäsuora ikävakiointi
Epäsuoraan ikävakioitu kuolleisuusindeksi (SMR)

= vakioitavan väestön kuolleiden määrä iässä i
= vakioitavan väestön iässä i olevien keskiväkiluku
= vakioväestön ikäryhmittäinen kuolleisuusluku
Päivitetty 1.7.2002
Lisätietoja:sähköposti: tietoaika@tilastokeskus.fi