Julkaistu: 13.10.2001
Miten muutosprosentti lasketaan
Mersusta haaveileva kollega tutkaili oheista Helsingin Sanomien kokosivun ilmoitusta, jonka pääsisältö oli että Mersun C-sarjan myynti oli kasvanut 63 % vuodesta 2000. Matemaattisesti tarkkana kollega oivalsi nopeasti, että mainoksessa oli virhe.

Vuoden 2000 tammi-elokuussa autoja myytiin 1 013 kpl ja vuoden 2001 tammi-elokuussa 1 589 kpl. Myynti siis lisääntyi 576 kpl, joka on 57 % esitetystä vuoden 2000 myyntiluvusta. Mersun C-sarjan myynti oli siis kasvanut vain 57 %, mikä on tietenkin paljon sekin.
Muutosprosentin laskeminen on periaatteessa yksinkertainen asia, mutta johtaa silti usein sekaannuksiin. Mersu-mainoksen virheen syntyä en tosin osannut rekonstruoida. Lähimmäksi päästään, jos lasketaan montako prosenttia vuoden 2000 tammi-elokuun myynti on tämän vuoden vastaavan ajan myynnistä (63,7 %).
Kantavuoden tunnistaminen on muutosprosentin laskun keskeisin vaihe ja useimmat sotkut syntyvät juuri siinä. Muutosprosentti ilmoittaa jonkin muuttujan kasvun prosentteina verrattuna varhaisempaan ajankohtaan. Vertailun lähtökohtana ja prosenttilaskun kantalukuna on siis aina kahdesta ajankohdasta varhaisempi.
Muutosprosentin voi laskea kahdella tavalla, jotka molemmat kannattaa intuitiivisesti ymmärtää esimerkiksi päässälaskun sujuvuuden lisäämiseksi:
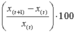
1. Lasketaan ensin tapahtunut absoluuttinen muutos ja lasketaan montako prosenttia se on vertailuvuoden arvosta:

jossa x(t+1) on tuorein mittaustulos ja x(t) vertailuvuoden mittaustulos.
Mersu-esimerkki

2. Lasketaan kuinka monta prosenttia tuorein arvo on vertailuvuoden arvosta ja vähennetään tuloksesta sata:

Mersu-esimerkillä

Jos laskutoimituksen tulos on positiivinen, kyseessä on kasvu - jos se on negatiivinen, muutos on vähennystä.
Kasvun ja vähentymisen prosenttiosuuksien suhteeseen sisältyy myös sudenkuoppa. Oletetaan että vuoden 2002 tammi-elokuussa Mersun C-sarjan myynti vähenisi saman verran kuin se kasvoi edellisenä vuonna, eli myynti vähenisi takaisin 1 013 kappaleeseen. Vaikka myynti laskee samat 576 kappaletta, jotka se oli lisääntynyt vuotta aikaisemmin, ei muutosprosentti kuitenkaan ole -57 % vaan ainoastaan -36 %.
Syynä pienempään prosenttilukuun on se, että prosentin kantaluku on nyt suurempi eli vuoden 2001 myyntiluku:

Kasvuprosentit ovat siis tavallaan pienempiä kuin laskuprosentit. Esimerkiksi 1990-luvulla laman aiheuttama 10 %:n tuotannon lasku edellytti kompensoituakseen 11 %:n kasvun.
Jussi Melkas
Päivitetty 13.10.2001
Lisätietoja:sähköposti: tietoaika@tilastokeskus.fi